Follow Us!!:

アプリなら、たくさんの便利な機能が無料で使える!
今すぐアプリをダウンロードして、もっと自由に学ぼう!

履歴の確認
お気に入り・フォローの登録
通知の受け取り
ファイルの作成・追加・複製
メモの作成・確認
モチベボードの投稿
App StoreからダウンロードGoogle Playで手に入れよう
運営会社お問い合わせ利用規約プライバシーポリシー
YouTube利用規約

© 2025, okke, Inc.

Stardy -河野玄斗の神授業

【基礎〜応用網羅】1時間で三角関数は完全マスターできる!

次の動画:"図形の性質"がみるみる解けるようになる動画【永久保存版】

概要

動画投稿日|2020年1月15日

動画の長さ|58:55

独学だと10時間以上かかる量をわずか1時間の超速習で三角関数を完全に制圧できます!全受験生見るべし! 訂正箇所がございましたので固定コメントをご覧ください。大変申し訳ございませんでした。 ※扇型と中心角絡みの話については別の動画で扱います。 #三角関数 #数学 #20年徹底分析 _人人人人人人人人人人_ > 河野塾ISM 爆誕 <  ̄Y^Y^Y^Y^Y^Y^Y^Y^Y ̄ この度、私河野玄斗は「河野塾ISM」を始動して、受験業界の新たな時代を作ります! 最短かつ最適な方法で”合格”できる勝ちパターンを受験生の皆さんに提供します! ↓詳細はこちら↓ https://konojyuku-ism.com ■LINE公式はこちら お得な最新情報を随時更新中! ↓友達追加はこちらから↓ https://liff.line.me/2000236188-A86GNZ92/landing?follow=%40346juqlu&lp=pJUKUo&liff_id=2000236188-A86GNZ92 『神脳・教育界の革命家 河野玄斗』 東大医学部在学中に司法試験に一発合格。 河野塾ISM代表。頭脳王3度優勝。 公認会計士試験に合格し、三大国家資格を制覇。 開発した学習アプリ『ring』はアプリ大賞最優秀賞受賞。 初書籍『シンプルな勉強法』は世界でも翻訳され、シリーズの累計12万部突破。 ■STARDY公式グッズ ↓購入はこちらから↓ https://suzuri.jp/stardy ■SNS 河野玄斗:https://twitter.com/gengen_36 ルーク(編集等):https://twitter.com/Stardy_luke Stardy公式:https://twitter.com/StardyOfficial コラボ・案件等のお問い合わせはStardy公式ツイッターのDMまでお願いします。

タグ

#高3#レベル4#三角関数#演習

この動画を含むファイル

数学

13コンテンツを保存済み

共すうがく

42コンテンツを保存済み

数学

12コンテンツを保存済み

数学共テ

12コンテンツを保存済み

共通テスト

30コンテンツを保存済み

関連動画

28:23
三角関数の公式の「使い方」(明日から使える式変形④)【深掘り高校数学】ぶおとこばってん
31:27
数ⅡB基礎 講義問題の解説 第1回 三角関数と指数対数【数検1級/準1級/中学数学/高校数学/数学教育】JJMO JMO IMO Math Olympiad Problems楽しい数学の世界へ
34:47
覚える公式一覧・数学2B編(東大医学部の解説動画)ガチでノビる受験数学 東大医学部の解説動画
26:44
三角関数の公式のコツ・三角方程式|三角関数の頻出問題①【良問 67/100】ぶおとこばってん
14:20
#535 1999京都大 文系 三角関数の取りうる値の範囲【数検1級/準1級/大学数学/高校数学/数学教育】JJMO JMO IMO Math Olympiad Problems楽しい数学の世界へ

関連用語

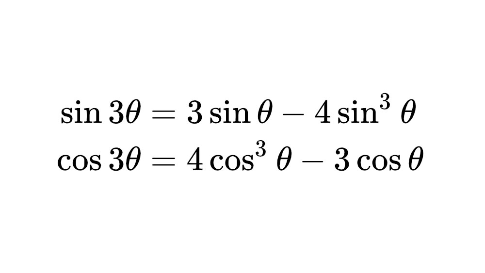
3倍角の公式
90°関係
半角の公式
合成
加法定理