Follow Us!!:

アプリなら、たくさんの便利な機能が無料で使える!
今すぐアプリをダウンロードして、もっと自由に学ぼう!

履歴の確認
お気に入り・フォローの登録
通知の受け取り
ファイルの作成・追加・複製
メモの作成・確認
モチベボードの投稿
App StoreからダウンロードGoogle Playで手に入れよう
運営会社お問い合わせ利用規約プライバシーポリシー
YouTube利用規約

© 2025, okke, Inc.

予備校2.0

【14-5】ベクトルの内積の性質をノリで押さえてない?【再生リスト】で気になる単元を探してね!

次の動画:【14-6】内積を図形的にイメージし、分配法則を身近に感じる!【再生リスト】で気になる単元を確認してね!

概要

動画投稿日|2023年1月10日

動画の長さ|7:30

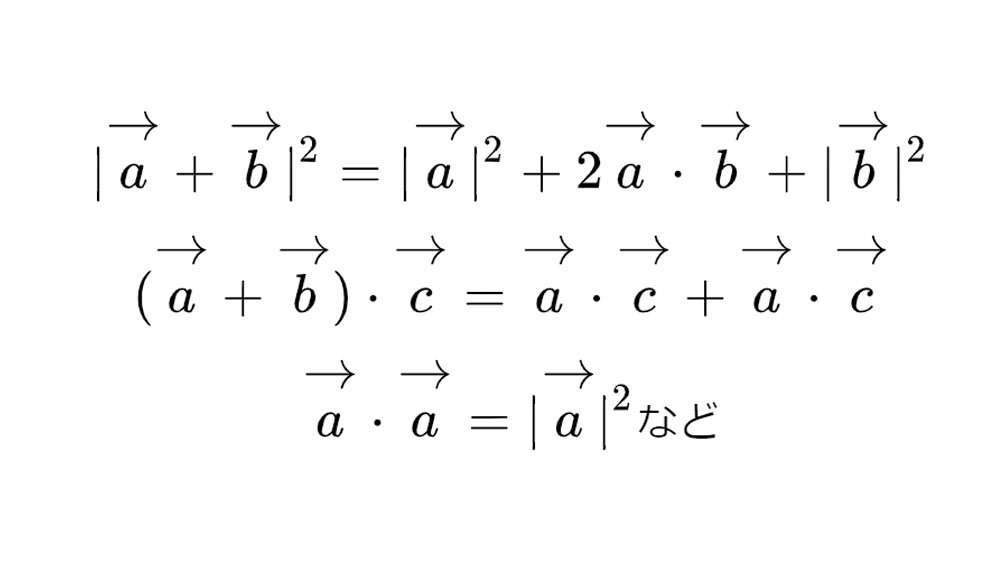
https://twitter.com/imhkkry #数学#共通テスト#ベクトル#内積 ◆◆次の動画◆◆https://youtu.be/AQ_inxeQ1BQ ◆◆前の動画◆◆https://youtu.be/z9f-tG5unKM 【ベクトルの内積】という概念がなぜあるのでしょうね? それに答えるためには、   【ベクトルの内積】の性質 を確認する必要があります。 一見すると当たり前と思える式の意味をくみ取ってみましょう!

タグ

#高2#レベル2#平面ベクトル#講義

この動画を含むファイル

数三

26コンテンツを保存済み

関連動画

11:07
【14-6】内積を図形的にイメージし、分配法則を身近に感じる!【再生リスト】で気になる単元を確認してね!予備校2.0
5:16
【14-16】★発展★空間ベクトルでも、内積を分配!そのイメージが見える?【再生リスト】で気になる単元を確認してね!予備校2.0
7:53
【14-7】成分表示されたベクトルの内積は?【再生リスト】で気になる単元を確認してね!予備校2.0
6:48
【14-7】成分表示されたベクトルの内積&面積公式 【再生リスト】で気になる単元を確認してね!予備校2.0
3:13
【14-15】クイズです。(ベクトルOA)・(ベクトルOB)に等しい内積はいくつ見つかる?始点はすべてOです。【再生リスト】で気になる単元を確認してね!予備校2.0

関連用語

内積の計算公式
内積