Follow Us!!:

アプリなら、たくさんの便利な機能が無料で使える!
今すぐアプリをダウンロードして、もっと自由に学ぼう!

履歴の確認
お気に入り・フォローの登録
通知の受け取り
ファイルの作成・追加・複製
メモの作成・確認
モチベボードの投稿
App StoreからダウンロードGoogle Playで手に入れよう
運営会社お問い合わせ利用規約プライバシーポリシー
YouTube利用規約

© 2025, okke, Inc.

ぶおとこばってん

対数関数とは?対数方程式も|指数・対数関数の頻出問題②【良問 74/100】

次の動画:指数不等式・対数不等式をしっかり学ぶ|指数・対数関数の頻出問題③【良問 75/100】

概要

動画投稿日|2020年4月21日

動画の長さ|25:47

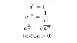
対数関数を含んだ方程式の問題を、丁寧に解説!対数関数の成り立ちや性質も詳しく! Twitterにて、講義ノートを公開:https://twitter.com/b_battenn/status/1252514794013257729 ★★ 授業動画・公式・学び方について、単元別・レベル別に必要なものを検索できる、勉強アプリ「okke オッケ!」ができました。これから皆さんと進化するので、是非感想など教えてください! 【iPhone / iPad】https://apps.apple.com/jp/app/okke/id1540697607 【Android】https://play.google.com/store/apps/details?id=com.spesden.okke ※okedou / okedic / okenavi の統合版です ------------------------------------------------- 受験数学1A2Bの定番の良問を独学でも勉強できるシリーズです(1日1問・全部で100問予定) 解法暗記に頼らないための考え方を、1問の良問に凝縮させてじっくりと解説しています。 【数学II 指数・対数関数】 ①指数の拡張・指数方程式 ②対数の性質・対数方程式 ⬅︎ ココ ③指数・対数不等式 ④指数方程式の解の個数 ⑤桁数・最高位の数の問題 良問100選の全リストはこちらです: 数学1A(31問)https://okedou.app/playlist/3e1e2951-32a5-4fa6-881e-81198cb28f7a 数学2B(69問)https://okedou.app/playlist/320755dc-17c4-4154-a0f9-c672c6dba9ba #数学 #演習 #定番の良問100選 まだ単元の勉強が足りてないなあという方は、下のタグから、他の方々の授業動画などを復習してみてください。 #対数関数 高評価やチャンネル登録を頂けるととても嬉しいです。質問も全力で返します。皆さまが勉強しやすくなるように改善していきますので、よろしくお願いします! Twitter(@b_battenn)のフォローも是非よろしくお願いします。 https://twitter.com/b_battenn

タグ

#高2#レベル3#指数・対数関数#演習

関連動画

23:16
【受験数学演習#23】対数関数AKITOの勉強チャンネル
17:44
指数不等式・対数不等式をしっかり学ぶ|指数・対数関数の頻出問題③【良問 75/100】ぶおとこばってん
15:43
高校教科書のlogの公式を全部証明してみた式変形チャンネル
9:07
長崎大 対数の基本鈴木貫太郎
1:35:48
【超簡単!数学の価値観が変わる講義】指数・対数関数数学力向上チャンネル

関連用語

指数の拡張
真数条件
指数法則
底の変換公式