Follow Us!!:

アプリなら、たくさんの便利な機能が無料で使える!
今すぐアプリをダウンロードして、もっと自由に学ぼう!

履歴の確認
お気に入り・フォローの登録
通知の受け取り
ファイルの作成・追加・複製
メモの作成・確認
モチベボードの投稿
App StoreからダウンロードGoogle Playで手に入れよう
運営会社お問い合わせ利用規約プライバシーポリシー
YouTube利用規約

© 2025, okke, Inc.

マイペース【情報Ⅰ】

データの分析(データの相関3 相関係数を求めてみる)【数学Ⅰ・情報Ⅰ】

次の動画:表計算ソフト(Excel入門(オートフィル・絶対参照・複合参照))【情報Ⅰ】

概要

動画投稿日|2022年3月22日

動画の長さ|18:01

9:03~ 一瞬計算式が違います。1/nは√の中になければなりません。 前    • データの分析(データの相関2 相関係数)【数学Ⅰ・情報Ⅰ】   ■1.3倍版■   • データの分析(データの相関3 相関係数を求めてみる)【数学Ⅰ・情報Ⅰ】(1...   ■動画一覧■https://johono.site/informatics1_lecvideo/ ■Webサイト■https://johono.site/ #情報Ⅰ #数学Ⅰ #情報系解説授業

タグ

#高1#高2#高3#レベル2#データの分析#情報参考書・勉強法#講義

関連動画

25:47
データの分析(データの相関2 相関係数)【数学Ⅰ・情報Ⅰ】マイペース【情報Ⅰ】
36:37
【数学I データの分析】知識を1時間でまるごと解説(後半)ぶおとこばってん
27:42
【ただの暗記ではない】数I「データの分析」を完全解説!颯斗のYouTube高校【数学・物理・化学】
42:23
【超々丁寧に】代表値・分散・標準偏差・四分位数【数学Ⅰ データ分析 統計学】マイペース【情報Ⅰ】
26:41
データの分析(分散・標準偏差)【数学Ⅰ・情報Ⅰ】マイペース【情報Ⅰ】

関連用語

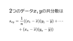
共分散
変量の変換
標準偏差
相関係数
分散