Follow Us!!:

アプリなら、たくさんの便利な機能が無料で使える!
今すぐアプリをダウンロードして、もっと自由に学ぼう!

履歴の確認
お気に入り・フォローの登録
通知の受け取り
ファイルの作成・追加・複製
メモの作成・確認
モチベボードの投稿
App StoreからダウンロードGoogle Playで手に入れよう
運営会社お問い合わせ利用規約プライバシーポリシー
YouTube利用規約

© 2025, okke, Inc.

AKITOの勉強チャンネル

【受験数学♯134】軌跡① ~基本処理~

次の動画:【受験数学♯135】軌跡② ~パラメータ表示された点の軌跡~

概要

動画投稿日|2018年4月17日

動画の長さ|20:03

チャンネル登録をお願いします。 https://www.youtube.com/channel/UC95yR8Sk5cmPxd6qfmYYSMw 暇つぶしチャンネルもやっております。 https://www.youtube.com/channel/UCaxwDBrgLmFQE_Eu3MxZrxw Twitter(@Akito_ut)のフォローもお願いします。 https://twitter.com/Akito_ut

タグ

#高2#レベル3#軌跡と領域#講義

この動画を含むファイル

高校数学

277コンテンツを保存済み

関連動画

14:03
【受験数学♯111】(数Ⅲ)積分計算⑨ ~円の面積公式の利用~AKITOの勉強チャンネル
16:17
【受験数学#141】グラフの拡大・縮小AKITOの勉強チャンネル
15:42
【受験数学♯98】(数Ⅲ)2次曲線と接線AKITOの勉強チャンネル
15:26
【受験数学♯137】(数Ⅲ)複素数と軌跡AKITOの勉強チャンネル
20:35
【受験数学#143】ベクトルと軌跡② ~内積・絶対値を含む場合~AKITOの勉強チャンネル

関連用語

楕円
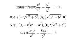
双曲線
円の方程式