Follow Us!!:

アプリなら、たくさんの便利な機能が無料で使える!
今すぐアプリをダウンロードして、もっと自由に学ぼう!

履歴の確認
お気に入り・フォローの登録
通知の受け取り
ファイルの作成・追加・複製
メモの作成・確認
モチベボードの投稿
App StoreからダウンロードGoogle Playで手に入れよう
運営会社お問い合わせ利用規約プライバシーポリシー
YouTube利用規約

© 2025, okke, Inc.

暇な予備校講師の解説

京大物理2023年度第2問

概要

動画投稿日|2024年2月9日

動画の長さ|17:46

・京大物理2023年度第2問の解説動画です #京大 #大学受験 #高校物理 #過去問解説

タグ

#高3#レベル5#電子と光#コンデンサー#演習

関連動画

42:40
【物理】京大2023第2問解説(電磁気・原子)物理の源
29:48
【充電が】京大物理2021年度第2問【終わらない】暇な予備校講師の解説
22:16
京大物理2023年度第3問暇な予備校講師の解説
1:01:21
【全問】京大物理2023年度【解説】暇な予備校講師の解説
21:19
京大物理2023年度第1問暇な予備校講師の解説

関連用語

光電効果
インピーダンス
リアクタンス
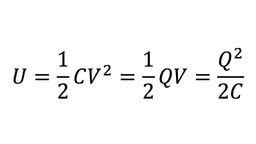
静電エネルギー
誘電率