Follow Us!!:

アプリなら、たくさんの便利な機能が無料で使える!
今すぐアプリをダウンロードして、もっと自由に学ぼう!

履歴の確認
お気に入り・フォローの登録
通知の受け取り
ファイルの作成・追加・複製
メモの作成・確認
モチベボードの投稿
App StoreからダウンロードGoogle Playで手に入れよう
運営会社お問い合わせ利用規約プライバシーポリシー
YouTube利用規約

© 2025, okke, Inc.

暇な予備校講師の解説

【速報版】東大理系数学2023年度第1問

概要

動画投稿日|2023年2月25日

動画の長さ|8:28

・2023年度東大数学理系第1問の解説です。 #大学受験 #解答速報 #東大 #過去問解説 #高校数学

タグ

#高3#レベル5#関数と極限#積分(数Ⅲ)#演習

関連動画

14:00
福田の数学〜東京大学2023年理系第1問〜定積分と不等式JiroFukuda Math Channel
8:03
【2023東大数学解答速報】理科第1問~こんな置換,できる??~【ホクソム】安田亨チャンネル
16:46
大学入試数学解説:東大2023年理系第1問[数III 積分]Masaki Koga [数学解説]
12:06
【速報版】東大理系数学2025年度第2問暇な予備校講師の解説
36:14
2015年 東大理系 第6問【過去問解説】AKITOの勉強チャンネル

関連用語

置換積分
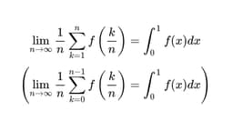
区分求積法
ウォリス積分
瞬間部分積分
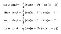
積和公式