Follow Us!!:

アプリなら、たくさんの便利な機能が無料で使える!
今すぐアプリをダウンロードして、もっと自由に学ぼう!

履歴の確認
お気に入り・フォローの登録
通知の受け取り
ファイルの作成・追加・複製
メモの作成・確認
モチベボードの投稿
App StoreからダウンロードGoogle Playで手に入れよう
運営会社お問い合わせ利用規約プライバシーポリシー
YouTube利用規約

© 2025, okke, Inc.

ぶおとこばってん

北海道大学2023文系第4問でじっくり学ぶ(積分)

次の動画:北海道大学2023理系第1問でじっくり学ぶ(複素数平面)

概要

動画投稿日|2023年9月27日

動画の長さ|20:06

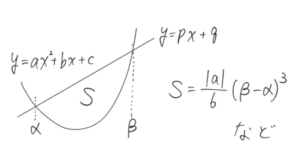
単なる解説を超えて、「問題で学ぶ」入試数学解説です。初見での思考力や、処理の工夫の訓練に!今日は北海道大学2023文系第4問の問題をじっくりと解説しました。 講義ノートはokkeでダウンロードできます:https://okke.app/post/hokkaido-2023-4 【復習動画】 良問演習1A2B100選・第87問(円と放物線が接するとは):https://okke.app/videos/_VQaOz-7FMU 【復習用語】 放物線の面積公式(6分の1公式):https://okke.app/words/p/6PIiHyFqJfKT9 ★★授業動画・公式・まとめや勉強法を効率よく探せて、誘惑なく学べる勉強アプリ「okke オッケ」作ってます。勉強の重い腰が上がらないときや、自分で調べもの・独学・復習したいときに全国の高校生が使ってます。 https://www.okke.co.jp/okke 0:00 問題 0:13 解説(概略) 2:25 解説(詳解)(1) 15:31 解説(詳解)(2) 19:03 エピローグ #北海道大学 #文系 #ド頻出ですが深いテーマです ------------------------------------------- 「旧帝大入試数学解説」シリーズ 初見への対応力と処理の工夫を身につけることを目的とした、実践的な演習シリーズです。良問演習のあとに是非。(2018-最新年分) 北海道大学:https://okke.app/playlist/1882ef3b-ec61-467c-bdd7-dc76fafc199c 東北大学:https://okke.app/playlist/c7554887-c090-4437-8378-fd09950e2db5 名古屋大学:https://okke.app/playlist/be560b12-73ad-4c84-8a43-7400562daeb1 大阪大学:https://okke.app/playlist/2f45400f-0196-47ce-b630-10e92645e1aa 九州大学:https://okke.app/playlist/872a79a0-b56f-4619-9dcd-89ec2684774f ※ここで紹介している解説は,大学が公表したものではありません。難易度も完全に主観です。 ※東大・京大は、すでにクオリティのとても高い動画が出されているので扱いません。このシリーズでは、北大・東北大・名大・阪大・九大の過去問を扱っています。 シリーズの目的・使い方はこちら:https://okke.app/videos/CAU9yC4MXEg ------------------------------------------- 「数学Ⅲ特講」シリーズ (良問演習:39問、過去問:34問) 教科書レベルを終えた方を対象に、数学Ⅲの各単元ごとに、 ✔️ 正しく理解して正しく書けるようになるための「良問演習」 ✔️ 初見への対応力と処理の工夫を身につける「旧帝大入試数学解説」 で学ぶことができるシリーズです。 数学Ⅲ特講の全リストはこちらです: https://okke.app/playlist/1223e4f5-41d2-4d18-8e3d-05a5c5a1b89f シリーズの目的・使い方はこちら:https://okke.app/videos/sqI86CYnitg ------------------------------------------- 「良問100選」シリーズ (数学1A:31問、数学2B:69問) 数学1A2Bの誤解しやすいポイントを正しく理解して、正しく記述の答案を書けるようになるための、単元別の良問解説シリーズです。過去問解説の土台になります。 良問100選の全リストはこちらです: 数学1A(31問)https://okke.app/playlist/3e1e2951-32a5-4fa6-881e-81198cb28f7a 数学2B(69問)https://okke.app/playlist/320755dc-17c4-4154-a0f9-c672c6dba9ba シリーズの目的・使い方はこちら:https://okke.app/videos/CAU9yC4MXEg ------------------------------------------- 分野やレベルごとの動画検索や、公式の証明・確認は全てアプリokkeでできます: https://www.okke.co.jp/okke 高評価やチャンネル登録を頂けるととても嬉しいです。質問も全力で返します。皆さまが勉強しやすくなるように改善していきますので、よろしくお願いします! Twitter(@b_battenn)のフォローも是非よろしくお願いします。 https://twitter.com/b_battenn

タグ

#高3#レベル3#図形と方程式#積分(数Ⅱ)#演習

関連動画

22:05
円と放物線が接するとは?|積分法の頻出問題④【良問 87/100】ぶおとこばってん
12:40
北海道大学2020文系第4問でじっくり学ぶ(微分積分)ぶおとこばってん
12:02
九州大学2023文系第1問でじっくり学ぶ(積分)ぶおとこばってん
11:20
福田の数学〜慶應義塾大学2021年総合政策学部第4問〜円と放物線が接するときの囲まれた面積JiroFukuda Math Channel
13:29
3次関数どうしで囲む面積【積分法が面白いほどわかる】高校数学が面白いほどわかる

関連用語

放物線の面積公式
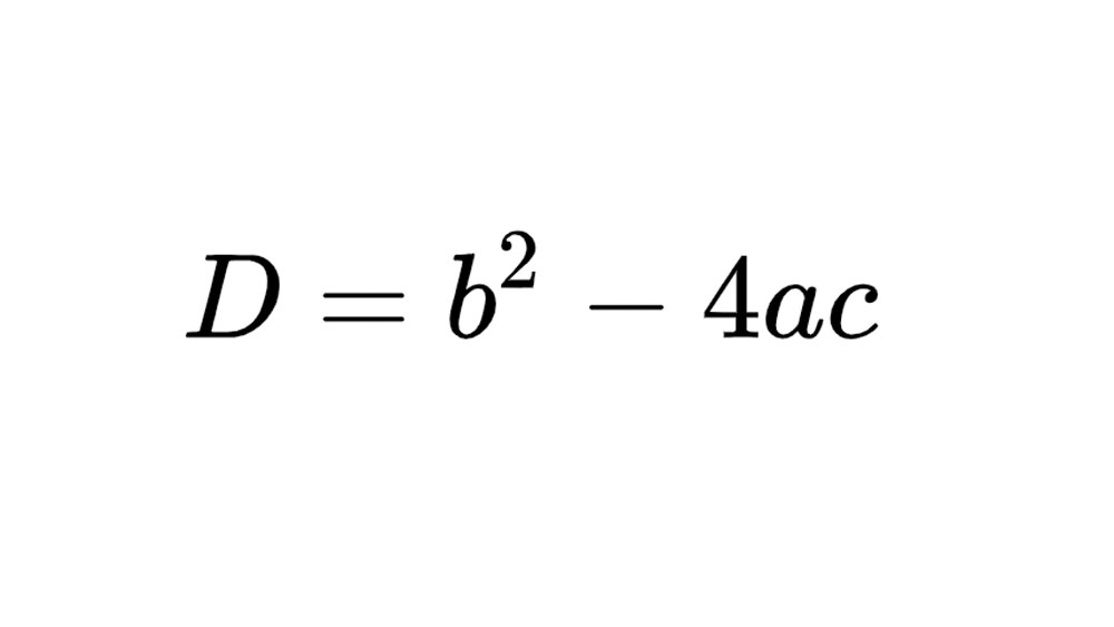
判別式