Follow Us!!:

アプリなら、たくさんの便利な機能が無料で使える!
今すぐアプリをダウンロードして、もっと自由に学ぼう!

履歴の確認
お気に入り・フォローの登録
通知の受け取り
ファイルの作成・追加・複製
メモの作成・確認
モチベボードの投稿
App StoreからダウンロードGoogle Playで手に入れよう
運営会社お問い合わせ利用規約プライバシーポリシー
YouTube利用規約

© 2025, okke, Inc.

暇な予備校講師の解説

【対数】京大理系数学2022年度第1問【2022年問題】

次の動画:【確率】京大理系数学2022年度第2問【余事象】

概要

動画投稿日|2022年2月25日

動画の長さ|2:27

・京大理系数学2022年第1問の解説です ・はさむ数字を見つけられるかどうかですが,そう難しくはないでしょう #京大 #京大数学 #大学受験 #解答速報 #過去問解説

タグ

#高3#レベル4#指数・対数関数#演習

関連動画

11:34
【2022年解答速報】アタリをつけろ!【京大数学第1問】MathLABO〜東大発「みんなでつくる」数学ベスト良問集〜(マスラボ)
9:26
#655 2022京都大 前期文理共通 対数の値の近似値を求める【数検1級/準1級/中学数学/高校数学/数学教育】JMO IMO Math Olympiad Problems楽しい数学の世界へ
9:11
福田の数学〜京都大学2022年理系第1問〜対数の値の評価JiroFukuda Math Channel
12:16
【2022年度/京都大学】文理共通 大問1解説*「ただよび」理系チャンネル
15:15
【解答速報】京大2022年理系第1問・文系第1問[数学II 対数]Masaki Koga [数学解説]

関連用語

底の変換公式
対数関数の導関数
真数条件
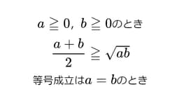
相加相乗平均