Follow Us!!:

アプリなら、たくさんの便利な機能が無料で使える!
今すぐアプリをダウンロードして、もっと自由に学ぼう!

履歴の確認
お気に入り・フォローの登録
通知の受け取り
ファイルの作成・追加・複製
メモの作成・確認
モチベボードの投稿
App StoreからダウンロードGoogle Playで手に入れよう
運営会社お問い合わせ利用規約プライバシーポリシー
YouTube利用規約

© 2025, okke, Inc.

楽しい数学の世界へ

【難関大入試演習】原論にある歴史的有名問題 完全数をチェックする問題【数検1級/準1級/大学数学/高校数学/数学教育】JMO IMO Math Olympiad Problems

概要

動画投稿日|2022年6月2日

動画の長さ|12:31

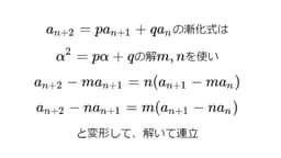
動画ご視聴ありがとうございました!今後も数学コンテンツを軸とした情報発信をしていこうと思いますので、是非チャンネル登録お願いします! 登録はコチラ↓↓↓ http://www.youtube.com/channel/UC505Nd1Iyy47iwBYhkx-idg?sub_confirmation=1 メンバーシップのご案内  お申し込み、登録はコチラ↓↓↓ https://www.youtube.com/channel/UC505Nd1Iyy47iwBYhkx-idg/join 大学入試・高校入試や数学検定などを控えた受験生へ。 トップレベルの大学の理工系を目指す受験生や医学部難関校を目指す受験生。ここで提供する大学入試問題(過去問)とその類題・別解答・大学数学から俯瞰する解答などや、数学オリンピックJMOの問題・類題などにも興味を持ってぜひ解いてみてください。また志望校が上記以外(文系の商学・経済学など)であっても、ライバルに数学で差をつけたい生徒は必見です。 数学オリンピック JMO予選・本選 問題 https://www.imojp.org/domestic/jmo_overview.html#Problems ジュニア数学オリンピック JJMO予選・本選 問題 https://www.imojp.org/domestic/jjmo_overview.html#Problems 中学数学・高校数学・大学受験数学・数学オリンピック・大学教養数学 etc…を分野・単元別・レベル別に丁寧に解説しています。また、参考書にはない裏公式も用意しています。参考書の行間の部分、飛躍の部分を極力丁寧に解説を心掛けています。参考書を見てもよく分からないんだよな~と思ったときに、その単元の動画を一通り見てみると、細かい議論の細部も見えるかと思います。大学入試やその後の数学に絶対にお勧めです。 よろしければチャンネル登録をしておいて、(難関高校入試)、大学受験数学、大学数学等で困ったらご覧下さい。 ・視聴者様へのお願い 当チャンネルには特定の大学・学部や団体を贔屓する意図はございません。また、チャンネルが成長するに従い、性的表現、誹謗中傷、スパム等のコメントが増加しています。上記のものと判断したコメントは削除・ブロックさせて頂きます。ご了承下さい。 ・個別指導について  自宅でカメラ付きPCがあればZoomによる個別質問授業、新宿~東戸塚(湘南新宿ラインの各駅)および、東京、品川、新橋の駅カフェにて数学の大学受験指導 数学オリンピック予選対策指導、および、大学レベルの数学(代数系全般、微積分、ベクトル解析、フーリエ解析、ラプラス変換、微分方程式、複素関数論)の学部単位習得についてご支援致します。 お仕事の依頼については下記メールアドレスより承っています♪ 【メールアドレス】mathsos0221@gmail.com

タグ

#高1#高2#レベル4#数学と人間の活動(整数)#数列#演習

関連動画

10:54
完全数とは何か予備校のノリで学ぶ「大学の数学・物理」
16:47
【今週の一題#7】完全数と素数の性質について解説します。日常でんがん
7:09
【同志社大2013(改】完全数になるか判定!たてぃこ
7:53
【整数問題】完全数の性質と素数【年おくり整数シリーズ2016】数学ボーイZ / SUGAKU BOY Z
14:11
#800 2018産業医科大 医 2番目の完全数を求める【数検1級/準1級/大学数学/中高校数学/数学教育】Perfect number JMO IMO Math Olympiad Problems楽しい数学の世界へ

関連用語

約数の総和
等比数列