Follow Us!!:

アプリなら、たくさんの便利な機能が無料で使える!
今すぐアプリをダウンロードして、もっと自由に学ぼう!

履歴の確認
お気に入り・フォローの登録
通知の受け取り
ファイルの作成・追加・複製
メモの作成・確認
モチベボードの投稿
App StoreからダウンロードGoogle Playで手に入れよう
運営会社お問い合わせ利用規約プライバシーポリシー
YouTube利用規約

© 2025, okke, Inc.

ぱた/高校数学

数学Ⅰ第34回:第3章 2次関数 第2節 2次関数の値の変化 条件を満たす二次関数の式の決定 <教科書ベースで学ぶ高校数学> #69

次の動画:数学Ⅰ第35回:第3章 2次関数 第2節 2次関数の値の変化 教科書の問題を一気に解説 <教科書ベースで学ぶ高校数学> #71

概要

動画投稿日|2020年6月17日

動画の長さ|15:06

講義は6:06から 前回:   • 数学Ⅰ第33回:第3章 2次関数 第2節 2次関数の値の変化 定義域が変化...   次回:   • 数学Ⅰ第35回:第3章 2次関数 第2節 2次関数の値の変化 教科書の問題...   昨日、ガスが止まったので銭湯に行こうと思い立ち、google大先生で調べてみたら家の近くに銭湯がありました。 いかにも昭和の銭湯といった感じで、大浴場の壁にはタイルで松島が描かれていました。 私の地元では問答無用で富士山が描かれていたのですが、日本全国の銭湯が富士山だとあ限らないみたいですね。私は松島が(というか日本三景が)大好きなのでうれしい限りです。 富士山は見飽きたんですよね(贅沢) 家の近くに素敵な銭湯があった、という事実はガスが止まらなければ見つからなかった発見なので、ガスが止まっていてよかったです(超ポジティブ) *************************************************************************** 数学Iを教科書をベースにして丁寧に解説していくシリーズです。 ※教科書の著作権侵害を防ぐため、直接的に教科書を使用するわけではなく、その構成や問題をアレンジし、お送りしております。 第34回:「第3章 2次関数 第2節 2次関数の値の変化 条件を満たす二次関数の式の決定 」 教科書の練習問題や章末問題、各ページの問題などは答えがついていなかったり、または略解しか載っていなくて、解説が無くて困っている人が多いと思います。 よって、私たちが隅々まで解説しています。 **************************************************************************** 少しでも塾に行けない方々や学校の授業についていけない方々のお役に立てたらと思います。 月曜日と水曜日と金曜日の17:00に投稿していきます。 ***************************************************************************** チャンネル登録、高評価よろしくお願いします!! URL: https://www.youtube.com/channel/UCM6v... あわせてtwitter、noteのフォローもよろしく! twitter: https://twitter.com/pata_mathematic?s=20 note(数学の色々な記事、雑談など): https://note.com/pata0106 ***************************************************************************** 数年前から構想を練っていたプロジェクトがついに実現します. 東北大学で数学を学ぶ3人組が,高校数学を基礎から丁寧に教えます

タグ

#高1#レベル1#二次関数#講義

関連動画

9:09
【高校数学】2次関数の決定~考え方と解き方~ 2-6【数学Ⅰ】【楽しい授業動画】あきとんとん
16:30
【数学Ⅰ】2次関数08三点を通る放物線の式を求める【Mr.ミヤカワの誰でも分かる高校数学】Mr.ミヤカワの『いろいろちゃんねる』
16:16
【高校数学基礎講座】二次関数9 2次関数の決定・連⽴3元1次⽅程式「ただよび」理系チャンネル
9:03
数学Ⅰ第31回:第3章 2次関数 第2節 2次関数の値の変化 二次関数の最大・最小 <教科書ベースで学ぶ高校数学> #64ぱた/高校数学
13:19
数学Ⅰ第32回:第3章 2次関数 第2節 2次関数の値の変化 二次関数の最大・最小の応用(1) <教科書ベースで学ぶ高校数学> #65ぱた/高校数学

関連用語

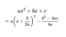
平方完成
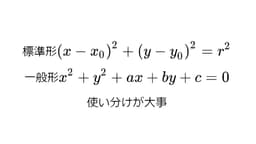
円の方程式
解の公式
平行移動
順像法