Follow Us!!:

アプリなら、たくさんの便利な機能が無料で使える!
今すぐアプリをダウンロードして、もっと自由に学ぼう!

履歴の確認
お気に入り・フォローの登録
通知の受け取り
ファイルの作成・追加・複製
メモの作成・確認
モチベボードの投稿
App StoreからダウンロードGoogle Playで手に入れよう
運営会社お問い合わせ利用規約プライバシーポリシー
YouTube利用規約

© 2025, okke, Inc.

JiroFukuda Math Channel

福田の数学〜東京大学2025理系第3問〜平行四辺形を囲む長方形の面積の最大値

次の動画:福田の数学〜東京大学2025理系第4問〜関数の値が平方数となる条件

概要

動画投稿日|2025年2月27日

動画の長さ|15:40

福田の数学です。 今回は旧・東京大学2025理系第3問。平行四辺形を囲む長方形の面積の最大値の問題。 【チャンネル登録はこちらから】 https://www.youtube.com/channel/UCZtJwETNkOGeCJw7_cdJ7Yw?sub_confirmation=1 【福田の数学WebPageはこちらから】 http://www.tamoshop.com 公開中の動画の索引や、問題に対するコメント、福田のアプリ紹介、管理人の部屋では俳句と故郷焼津のエッセイも! 【ツイッターはこちらから】 https://twitter.com/fukudaTamoshop 【福田の入試問題解説アプリ】 東京、京都、北海道、東北、筑波、千葉、一橋、東京工業、東京医科歯科、浜松医科、名古屋、大阪、神戸、九州 全14大学の入試問題、解答(静止画)、解説(動画)を過去7年収録。 入手方法(無料・アプリ内課金あり・・・最新年度のデータはすべて無料です) 入手は以下のサイトから iPhone, iPad用(Apple AppStore) https://apps.apple.com/app/%E7%A6%8F%E7%94%B0%E3%81%AE%E5%A4%A7%E5%AD%A6%E5%85%A5%E8%A9%A6%E5%95%8F%E9%A1%8C%E8%A7%A3%E8%AA%AC-%E6%95%B0%E5%AD%A6/id1448982608?l=ja&ls=1 Android(Google PlayStore) https://play.google.com/store/apps/details?id=com.tamoshop.nyushikaisetsuandroid 【首都圏有名私立大学入試数学解説アプリ】 早稲田、慶應義塾、青山学院、上智、明治、立教、中央、東京慈恵会医科 全8大学の入試問題、解答(静止画)、解説(動画)を過去3年収録。 入手方法(無料・アプリ内課金あり・・・最新年度のデータはすべて無料です) 入手は以下のサイトから iPhone(Apple AppStore) https://apps.apple.com/app/%E7%A6%8F%E7%94%B0%E3%81%AE%E9%A6%96%E9%83%BD%E5%9C%8F%E6%9C%89%E5%90%8D%E7%A7%81%E5%A4%A7%E5%85%A5%E8%A9%A6%E6%95%B0%E5%AD%A6%E8%A7%A3%E8%AA%AC/id1496898059?l=ja&ls=1 Android(Google PlayStore) https://play.google.com/store/apps/details?id=com.tamoshop.nyushisidai その他の福田のアプリ 【gDraw】グラフ描画 gDraw for iPhone (250円) https://apps.apple.com/app/id689603480 gDrawLite(機能制限版)無料 https://apps.apple.com/app/gdrawlite/id792288727 gDrawPro(iPad用) 無料(アプリ内課金あり) https://apps.apple.com/app/id907360838 【分数電卓】分数計算、帯分数を含んだ計算、分数で答を出す(無料) iPhone, iPad(AppStore) https://apps.apple.com/app/id998791093 Android(GooglePlayStore) https://play.google.com/store/apps/details?id=com.tamoshop.jah02733.fraccal 【実数電卓】ルート計算、有理化も自由自在、答もルートのままで(無料) iPhone, iPad(AppStore) https://apps.apple.com/app/squarerootcalculator/id1260411892 【関数計算電卓】有理関数の値計算、分数・ルールのままで結果が出せる(無料) iPone, iPad(AppStore) https://apps.apple.com/app/functioncalculator/id1275985289 【トリプル電卓】3連電卓。3つの電卓を切り替えながら爆速計算(無料) iPhone, iPad(AppStore) https://apps.apple.com/app/triplecalculator/id1141789970 Android(GooglePlayStore) https://play.google.com/store/apps/details?id=com.tamoshop.jah02733.triplecal 【聞いて喋って覚える九九】 音声認識で練習する九九アプリ。声を出して九九をマスター!(無料・アプリ内課金あり) iPhone, iPad(AppStore) https://apps.apple.com/app/%E8%81%9E%E3%81%84%E3%81%A6%E5%96%8B%E3%81%A3%E3%81%A6%E8%A6%9A%E3%81%88%E3%82%8B%E4%B9%9D%E4%B9%9D/id1420858670 Android(GooglePlayStore) https://play.google.com/store/apps/details?id=com.tamoshop.voice99android

タグ

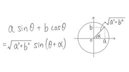
#高3#レベル4#三角関数#演習

関連動画

6:03
東大 数学 2025 理系 第3問 解説 取っ付きやすい問題でしたえいちゃんねる
24:26
東京大学理系数学2025年第3問を解いてみた受験メモ山本
10:35
【速報版】東大理系数学2025年度第3問暇な予備校講師の解説
13:27
【難易度☆☆☆】2025年 東京大学 理系 数学 第3問AKITOの特異点
12:32
2025 東京大学 理系3《三角関数》数学入試問題をわかりやすく解説ひでちゃんねる【数学 入試とか模試の問題を解説】

関連用語

合成
2倍角の公式