Follow Us!!:

アプリなら、たくさんの便利な機能が無料で使える!
今すぐアプリをダウンロードして、もっと自由に学ぼう!

履歴の確認
お気に入り・フォローの登録
通知の受け取り
ファイルの作成・追加・複製
メモの作成・確認
モチベボードの投稿
App StoreからダウンロードGoogle Playで手に入れよう
運営会社お問い合わせ利用規約プライバシーポリシー
YouTube利用規約

© 2025, okke, Inc.

ぱた/高校数学

数学Ⅰ第9回:第1章 数と式 第2節 実数 教科書の問題を全て解説 <教科書ベースで学ぶ高校数学> #27

次の動画:数学Ⅰ第10回:第1章 数と式 第3節 一次不等式 一次不等式(1) <教科書ベースで学ぶ高校数学> #28

概要

動画投稿日|2020年6月28日

動画の長さ|35:21

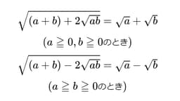
講義は4:31から 前回:   • 数学Ⅰ第8回:第1章 数と式 第2節 実数 根号を含む式の計算(2) <教...   次回:   • 数学Ⅰ第10回:第1章 数と式 第3節 一次不等式 一次不等式(1) <教...   この動画の撮影、たしかぶっ通しで7,8時間撮影し続けた覚えがあります。 最後の方は疲れすぎて謎テンションになっていた覚えがあります。 空いている時間が多い今、今までそんなに見る習慣がなかったアニメを色々とみていました。 アニオタみたいな見た目をしている割に、ワンピースとかトリコとかかぐや様くらいしかアニメを見たことがありませんでした。 鬼滅の刃とリゼロの1期を全て見ました。 めっちゃおもしろいですね(今更) 最近はあつ森やりたすぎてswitchライトを求めているのですが、どこにも売っていないしメルカリを見ても定価の倍近くで取引されている始末です。 恐ろしいのが、定価の倍近くの値段でも買う人が結構いるという事実ですね。 今、ゲオで抽選販売の申し込みが開始されているみたいなので、それに賭けたいと思います() **************************************************************************** 数学Iを教科書をベースにして丁寧に解説していくシリーズです。 ※教科書の著作権侵害を防ぐため、直接的に教科書を使用するわけではなく、その構成や問題をアレンジし、お送りしております。 第9回:「第1章 第2節 実数 教科書の問題を全て解説」 教科書の練習問題や章末問題、各ページの問題などは答えがついていなかったり、または略解しか載っていなくて、解説が無くて困っている人が多いと思います。 よって、私たちが類題ではありますが隅々まで解説しています。 目次 0:00~4:32 宿題解説 4:33~11:51 練習28-33 循環小数,絶対値の計算,平方根 11:52~19:15 練習34-36 ルートの計算,展開 19:16~21:15 練習37 有理化 21:16~24:44 練習38 二重根号 24:45~Last 練習39-44 ルートを含む計算、有理化応用 **************************************************************************** 少しでも塾に行けない方々や学校の授業についていけない方々のお役に立てたらと思います。 月曜日と水曜日と金曜日の17:00に投稿していきます。 ***************************************************************************** チャンネル登録、高評価よろしくお願いします!! URL: https://www.youtube.com/channel/UCM6v... あわせてtwitter、noteのフォローもよろしく! twitter: https://twitter.com/pata_mathematic?s=20 note(数学の色々な記事、雑談など): https://note.com/pata0106 ***************************************************************************** 数年前から構想を練っていたプロジェクトがついに実現します. 東北大学で数学を学ぶ3人組が,高校数学を基礎から丁寧に教えます. メンバー:ぱた、shun、フウヤ

タグ

#高1#レベル1#数と式#講義

関連動画

56:13
数学Ⅰ第14回:第1章 数と式 第3節 一次不等式 全ての問題を解説 <教科書ベースで学ぶ高校数学> #33ぱた/高校数学
1:08:25
数学Ⅰ第5回:第1章 数と式 第1節 式の計算 教科書の問題を全て解説 <教科書ベースで学ぶ高校数学> #22ぱた/高校数学
27:27
数学Ⅰ第15回:第1章 数と式 全ての問題を解説 <教科書ベースで学ぶ高校数学> #34ぱた/高校数学
21:24
数学Ⅰ第8回:第1章 数と式 第2節 実数 根号を含む式の計算(2) <教科書ベースで学ぶ高校数学> #26ぱた/高校数学
31:52
数学Ⅰ第35回:第3章 2次関数 第2節 2次関数の値の変化 教科書の問題を一気に解説 <教科書ベースで学ぶ高校数学> #71ぱた/高校数学

関連用語

純虚数
虚数
二重根号