Follow Us!!:

アプリなら、たくさんの便利な機能が無料で使える!
今すぐアプリをダウンロードして、もっと自由に学ぼう!

履歴の確認
お気に入り・フォローの登録
通知の受け取り
ファイルの作成・追加・複製
メモの作成・確認
モチベボードの投稿
App StoreからダウンロードGoogle Playで手に入れよう
運営会社お問い合わせ利用規約プライバシーポリシー
YouTube利用規約

© 2025, okke, Inc.

超わかる!授業動画

【東京理科大】条件付き確率【超わかる!高校数学Ⅰ・A】~演習~確率#19

次の動画:確率の最大値【超わかる!高校数学Ⅰ・A】~授業~確率#11

概要

動画投稿日|2017年6月23日

動画の長さ|2:19

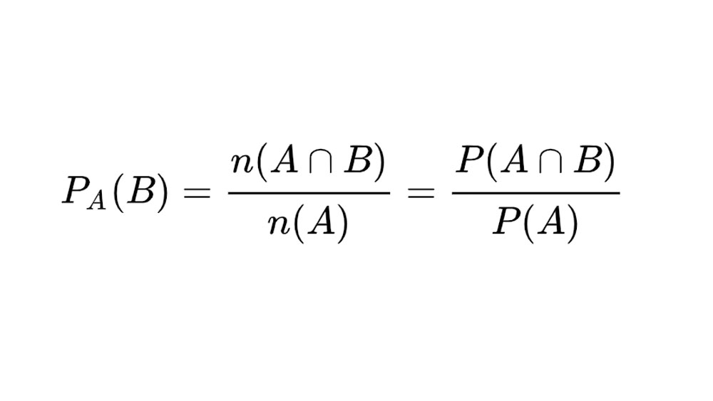
【東京理科大】条件付き確率のポイントは! ・事象 X が起こるという条件が確定した状態で、事象 Y が起こる条件付き確率は、 ( X かつ Y が起こる確率 ) ÷ ( X が起こる確率 ) 【前の動画】 条件付き確率~授業 https://youtu.be/SBbyttb_gYM 【次の動画】 確率~まとめ https://youtu.be/we_3Gos2Yo0 「確率を初めから学んで、完璧にしたい方」はこちらからどうぞ☆ https://www.youtube.com/playlist?list=PLd3yb0oVJ_W0XSqWb94WjPAyVhMKnOe4M 「チャンネル登録」はこちらからどうぞ!☆ http://www.youtube.com/channel/UCZUPMvvW1ggn4gbSY741LdA?sub_confirmation=1 「twitter」はこちらからどうぞ!☆ https://twitter.com/honda_math ※動画やチャンネルへ頂いた素敵なコメントは、動画の最後に紹介させて頂くことがございます! 「旧帝大・医学部合格者」出ています!本物の実績がある唯一のYouTubeチャンネル!「学年トップ」「全国偏差値70以上」続出中!難関大合格に必須の重要問題だけを「圧倒的に丁寧・コンパクト」に解説!チャンネル登録者から感動の声多数!大手予備校で500人以上の生徒を1:1で授業したプロ講師の「独創性」「情熱」の世界は、君を夢中にさせる!さぁ、今すぐ始めよう! 公式ホームページ : http://kouki-honda.jp/

タグ

#高1#レベル3#確率#演習

この動画を含むファイル

本田先生 (数ⅠA)

347コンテンツを保存済み

超わかる!授業動画【数学IA】

326コンテンツを保存済み

関連動画

2:19
【東京理科大(類題)】条件付き確率【超わかる!高校数学Ⅰ・A】~演習~確率#19超わかる!授業動画
3:22
条件付き確率【超わかる!高校数学Ⅰ・A】~授業~確率#18超わかる!授業動画
4:43
【一橋大(類題)】確率の最大値【超わかる!高校数学Ⅰ・A】~演習~確率#12超わかる!授業動画
1:56
【東北大】確率の基本【超わかる!高校数学Ⅰ・A】~演習~確率#2超わかる!授業動画
3:02
【名古屋大】確率漸化式【超わかる!高校数学Ⅰ・A】~演習~確率#14超わかる!授業動画

関連用語

条件付き確率