Follow Us!!:

アプリなら、たくさんの便利な機能が無料で使える!
今すぐアプリをダウンロードして、もっと自由に学ぼう!

履歴の確認
お気に入り・フォローの登録
通知の受け取り
ファイルの作成・追加・複製
メモの作成・確認
モチベボードの投稿
App StoreからダウンロードGoogle Playで手に入れよう
運営会社お問い合わせ利用規約プライバシーポリシー
YouTube利用規約

© 2025, okke, Inc.

予備校のノリで学ぶ「大学の数学・物理」

本当に正しい数学の怖い話 (級数の順序変更)

次の動画:高校数学で分かる秘書問題【最適停止問題】

概要

動画投稿日|2021年11月27日

動画の長さ|13:46

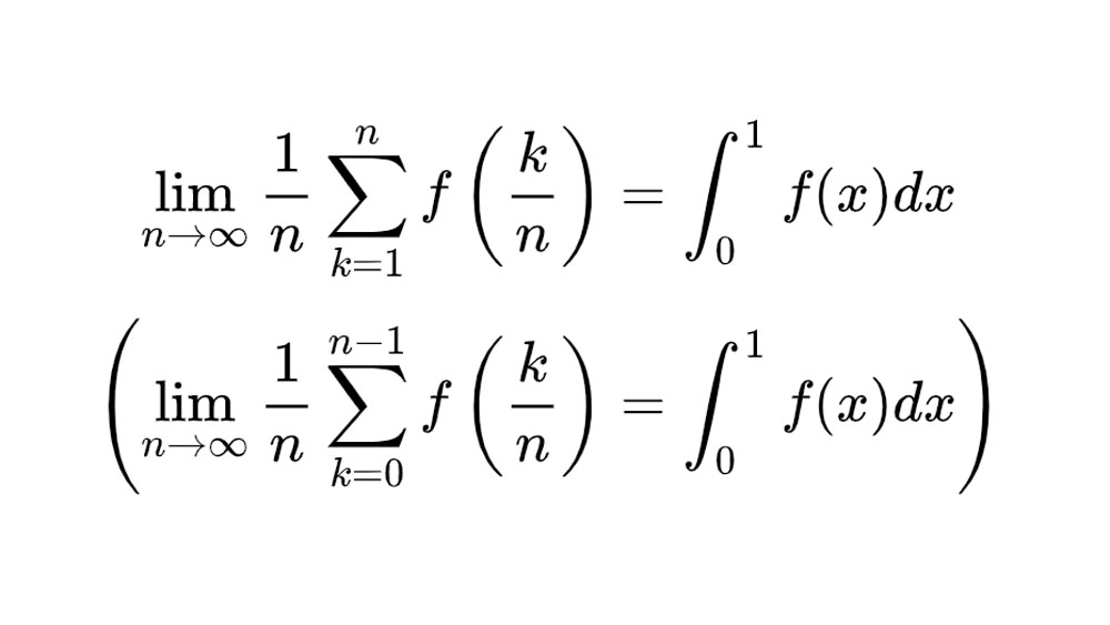
適当に順序を入れ替える人はモテない。 知らんけど。 概要欄 やす ------------------------------------------------------ 予備校のノリで学ぶ「大学の数学・物理」のチャンネルでは主に ①大学講座:大学レベルの理系科目 ②高校講座:受験レベルの理系科目 の授業動画をアップしており、他にも理系の高校生・大学生に向けた様々な情報提供を行っています <クラウドファンディング> このチャンネルは皆さまからのご支援で成り立っています。 応援してくださる方はご協力お願いいたします https://camp-fire.jp/projects/view/130136 <公式HP> ▼公式HPトップページ http://yobinori.jp ▼動画一覧 https://yobinori.jp/video.html ▼おすすめの教科書や参考書 https://yobinori.jp/review.html ▼お仕事・コラボのご依頼 https://yobinori.jp/contact.html <メンバーSNS> ▼Twitter たくみ(講師):http://twitter.com/Yobinori やす(編集):https://twitter.com/yasu_yobinori ▼Instagram たくみ(講師):https://www.instagram.com/yobinori やす(編集):https://www.instagram.com/yobinoriyasu ▼note たくみ(講師):https://note.mu/yobinori やす(編集):https://note.mu/yasu_yobinori ------------------------------------------------------ 【エンディングテーマ】 “物語のある音楽”をコンセプトに活動するボーカル不在の音楽ユニット”noto”(ノート) YouTubeチャンネル『予備校のノリで学ぶ「大学の数学・物理」』の主題歌として書き下ろした一曲。 noto / 2nd single『Telescope』(feat.みきなつみ) ***************************************************** noto公式YouTubeチャンネルにてMusic Video フルver.が公開中! 【noto -『Telescope』】 https://youtu.be/2-J5QZJ43OM 【みきなつみ公式YouTube】 https://www.youtube.com/channel/UC_XF9HviMGFdwiOOgQxSxyg/featured

タグ

#高3#大学#レベル2#関数と極限#微分積分#講義

関連動画

7:24
福田のおもしろ数学231〜交代級数の収束発散JiroFukuda Math Channel
6:35
【17-6】これは衝撃的だぁ!~無限の神秘~【再生リスト】で気になる単元を確認してね!予備校2.0
10:05
2021 広島県立大/数Ⅲ 極限/ちょこっと数学part15 #253ぱた/高校数学
3:26
国公立大 私立大 数学 対策 数Ⅲ⑨ 公式の意味を理解しているか。無限級数の和を求める問題えいちゃんねる
3:59
国公立大 私立大 数学 対策 数Ⅲ⑬ 式変形の仕方次第。極限の値を求める問題えいちゃんねる

関連用語

区分求積法