Follow Us!!:

アプリなら、たくさんの便利な機能が無料で使える!
今すぐアプリをダウンロードして、もっと自由に学ぼう!

履歴の確認
お気に入り・フォローの登録
通知の受け取り
ファイルの作成・追加・複製
メモの作成・確認
モチベボードの投稿
App StoreからダウンロードGoogle Playで手に入れよう
運営会社お問い合わせ利用規約プライバシーポリシー
YouTube利用規約

© 2025, okke, Inc.

超わかる!授業動画

確率の最大値【超わかる!高校数学Ⅰ・A】~授業~確率#11

次の動画:【一橋大(類題)】確率の最大値【超わかる!高校数学Ⅰ・A】~演習~確率#12

概要

動画投稿日|2017年5月17日

動画の長さ|5:23

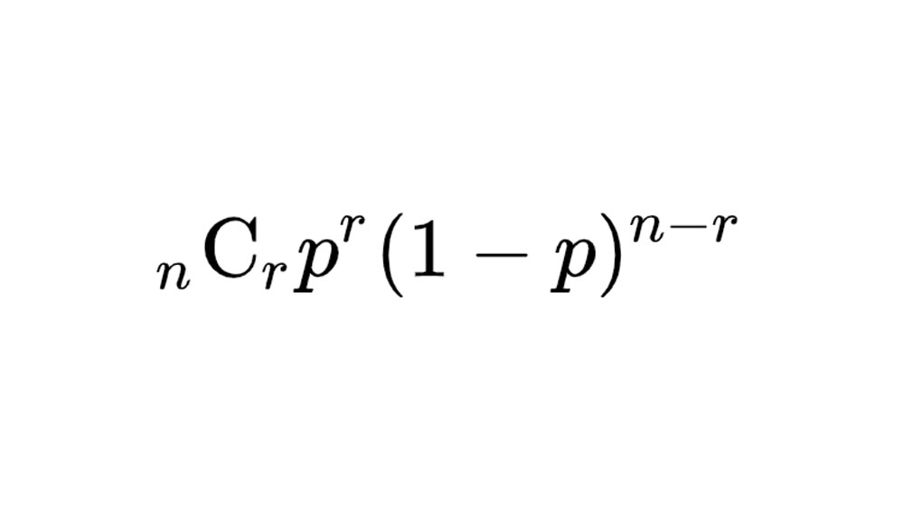
確率の最大値のポイントは! ・Combinationは階乗の形に変形できる! ・確率の最大値は ①n回の確率を P n として、P n+1 との大小関係にもち込もう! ②確率がプラスの値であることから、両辺を P n+1 で割ると、厄介な階乗や累乗がすっきりまとまる! ③②を解けば、この法則を満たす n の値が求まる! ④逆の法則は、不等号の向きを逆にしよう! 【前の動画】 【北海道大(類題)】反復試行の確率~演習 https://youtu.be/iu4wJ8QH-R4 【次の動画】 【一橋大(類題)】確率の最大値~演習 https://youtu.be/0k8wDao5SZ0 「確率を初めから学んで、完璧にしたい方」はこちらからどうぞ☆ https://www.youtube.com/playlist?list=PLd3yb0oVJ_W0XSqWb94WjPAyVhMKnOe4M 「チャンネル登録」はこちらからどうぞ!☆ http://www.youtube.com/channel/UCZUPMvvW1ggn4gbSY741LdA?sub_confirmation=1 「twitter」はこちらからどうぞ!☆ https://twitter.com/honda_math ※動画やチャンネルへ頂いた素敵なコメントは、動画の最後に紹介させて頂くことがございます! 「旧帝大・医学部合格者」出ています!本物の実績がある唯一のYouTubeチャンネル!「学年トップ」「全国偏差値70以上」続出中!難関大合格に必須の重要問題だけを「圧倒的に丁寧・コンパクト」に解説!チャンネル登録者から感動の声多数!大手予備校で500人以上の生徒を1:1で授業したプロ講師の「独創性」「情熱」の世界は、君を夢中にさせる!さぁ、今すぐ始めよう! 公式ホームページ : http://kouki-honda.jp/

タグ

#高1#レベル3#確率#講義

この動画を含むファイル

本田先生 (数ⅠA)

347コンテンツを保存済み

数学

17コンテンツを保存済み

共テ数学

27コンテンツを保存済み

超わかる!授業動画【数学IA】

326コンテンツを保存済み

関連動画

4:43
【一橋大(類題)】確率の最大値【超わかる!高校数学Ⅰ・A】~演習~確率#12超わかる!授業動画
17:51
数学「大学入試良問集」【5−6 最大確率】を宇宙一わかりやすくハクシ高校【数学科】良問演習チャンネル
16:26
# 180. (★★★) 確率の最大値 4step 数A 演習10 (P37)の類題math karat
18:14
確率の最大値 武庫川女子大2013高校数学さいた塾
2:59
【3分動画】確率の最大化 数学A 確率はやくち解説高校数学

関連用語

反復試行
条件付き確率