「セッケン」とは、高級脂肪酸のナトリウム塩のこと。高級脂肪酸とグリセリンのエステルである油脂をけん化して得られます。

高級脂肪酸イオンは、極性が小さく有機物に溶けやすい疎水基(親油基)と、極性が大きく水に溶けやすい親水基からなります。

油汚れをセッケンで洗浄すると、疎水基が突き刺さることで油汚れを包み込みます。これにより表面を親水基が取り囲むことで、油汚れを水に溶かすことができます。

ただし、高級脂肪酸イオンは沈澱・弱酸遊離などを起こすことから、そういった反応を起こさない「合成洗剤」も多く作られています。
セッケンは高級脂肪酸のナトリウム塩であり、主に油脂をけん化することで得られます。高級脂肪酸イオンは、有機物に溶けやすい疎水基(親油基)と水に溶けやすい親水基からなります。よって水溶液中では、疎水基が内側に集まることで「ミセルコロイド」として存在しています。

よって、水溶液中で少し白濁していたり、光を当てると光の筋が見えるチンダル現象が見えたりと、コロイドとしての性質があります。
セッケンには、液体の表面張力を低下させる「界面活性作用」があります。
仕組みは難しいので超ざっくり説明しておきます。極性溶媒の水の表面は、極性のない空気と触れているため不安定です。だから、表面積ができるだけ小さくなるように力が働きます。これが表面張力です。

そんな水にセッケンが溶け込むと、高級脂肪酸イオンが表面を覆います。空気に触れて不安定な表面が覆い隠される分、表面積を小さくしなくていいため表面張力が小さくなるわけです。

界面活性作用の延長として、水(極性溶媒)と油(無極性溶媒)を馴染ませる「乳化作用」があります。
油汚れをセッケンで洗浄すると、疎水基が突き刺さることで油汚れを包み込みます。これにより表面を親水基が取り囲むことで、油汚れを水に溶かすことができます。油を無理やりコロイド化している感じです。

このように、油をコロイド化する能力が乳化作用です。超どうでもいいですが、このセッケンの画像は数年前に作って以来気に入っていて、ことあるごとに流用しています。
セッケンは、油脂をけん化するだけで簡単に作れて便利ですが、いくつかの弱点もあります。弱点の原因のほとんどが、セッケンがカルボン酸塩であることです。順番に確認していきましょう。
弱酸+強塩基の塩であるセッケンは、水溶液中で弱塩基性となります。タンパク質のペプチド結合は塩基性で分解してしまうので、タンパク質からなる動物繊維では使えません。

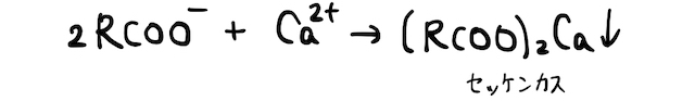
硬水とは、ミネラル(

ちなみに、軟水にもミネラルは存在するので、多少沈殿が起こってしまって白いセッケンのカスが残ってしまう、という実用的な弱点もあります。地味に掃除が面倒ですね。
酸性のものを洗おうとすると、カルボン酸イオンが弱酸遊離を起こしてしまいます。

以上に挙げたセッケンの弱点を解決すべく、人工的に作られた洗剤が「合成洗剤」です。セッケンの弱点の原因は、弱酸の高級脂肪酸(カルボン酸)が使われていることでした。
そこで合成洗剤では、強酸+強塩基からなる塩を洗剤として利用します。たとえば、
によって作られるものが有名です。

関連動画