Follow Us!!:

アプリなら、たくさんの便利な機能が無料で使える!
今すぐアプリをダウンロードして、もっと自由に学ぼう!

履歴の確認
お気に入り・フォローの登録
通知の受け取り
ファイルの作成・追加・複製
メモの作成・確認
モチベボードの投稿
App StoreからダウンロードGoogle Playで手に入れよう
運営会社お問い合わせ利用規約プライバシーポリシー
YouTube利用規約

© 2025, okke, Inc.

予備校のノリで学ぶ「大学の数学・物理」

高校生でも楽しめるリーマン予想【前編】

次の動画:コーシーの関数方程式/Cauchy's functional equation

概要

動画投稿日|2020年7月25日

動画の長さ|18:56

高校生でも楽しめるリーマン予想【後編】 https://youtu.be/5fQYMIhfj3w このチャンネルのスポンサーをこちらで募集しています↓ https://camp-fire.jp/projects/view/130136 --------------------------------------------------------------------------------------------------------- 【ヨビノリたくみの書籍一覧】 「難しい数式はまったくわかりませんが、微分積分を教えてください!」 https://amzn.to/33UvrRa →一般向けの微分積分の入門書です 「難しい数式はまったくわかりませんが、相対性理論を教えてください! https://amzn.to/33Uh9Ae →中学の易しい数学しか使わない相対性理論の解説本です 「予備校のノリで学ぶ大学数学 ~ツマるポイントを徹底解説」 https://amzn.to/36cHj2N →数学動画で人気の単元を書籍にしてまとめたものです 「予備校のノリで学ぶ線形代数」 https://amzn.to/2yvIUF1 →ヨビノリの線形代数の授業が書籍化されました ---------------------------------------------------------------------------------------------------------- 予備校のノリで学ぶ「大学の数学・物理」のチャンネルでは ①大学講座:大学レベルの理系科目 ② 高校講座:受験レベルの理系科目 の授業動画をアップしており、他にも理系の高校生・大学生に向けた様々な情報提供を行っています 【お仕事のご依頼】はHPのContactからお願いします 【コラボのご依頼】はHPのContactからお願いします 【講義リクエスト】は任意の動画のコメント欄にて! 【公式HP】はこちらから(探している講義が見つけやすい!) http://yobinori.jp/ 【Twitter】はこちらから(精力的に活動中!!) たくみ(講師)→http://twitter.com/Yobinori やす(編集)→https://twitter.com/yasu_yobinori 【Instagram】はこちらから(たくみの大喜利専用アカウント) https://www.instagram.com/yobinori 【note】はこちらから(まじめな記事を書いてます) たくみ(講師)→https://note.mu/yobinori やす(編集)→https://note.mu/yasu_yobinori ---------------------------------------------------------------------------------------------------------- 【エンディングテーマ】 “物語のある音楽”をコンセプトに活動するボーカル不在の音楽ユニット”noto”(ノート) YouTubeチャンネル『予備校のノリで学ぶ「大学の数学・物理」』の主題歌として書き下ろした一曲。 noto / 2nd single『Telescope』(feat.みきなつみ) ***************************************************** noto公式YouTubeチャンネルにてMusic Video フルver.が公開中! 【noto -『Telescope』】 https://youtu.be/2-J5QZJ43OM 【みきなつみ公式YouTube】 https://www.youtube.com/channel/UC_XF9HviMGFdwiOOgQxSxyg/featured ---------------------------------------------------------------------------------------------------------- ※上記リンクURLはAmazonアソシエイトのリンクを使用しています

タグ

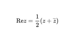
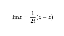
#大学#レベル3#複素関数論#講義

この動画を含むファイル

算数(授)

69コンテンツを保存済み

関連動画

18:15
高校生でも雰囲気だけ分かるゼータ関数とリーマン予想Masaki Koga [数学解説]
22:38
高校生でも楽しめるリーマン予想【後編】予備校のノリで学ぶ「大学の数学・物理」
10:13
ルジャンドル予想予備校のノリで学ぶ「大学の数学・物理」
1:24:37
中学数学からはじめる複素数予備校のノリで学ぶ「大学の数学・物理」
19:45
天才数学者オイラーはどのようにして導いたのか【バーゼル問題】予備校のノリで学ぶ「大学の数学・物理」

関連用語